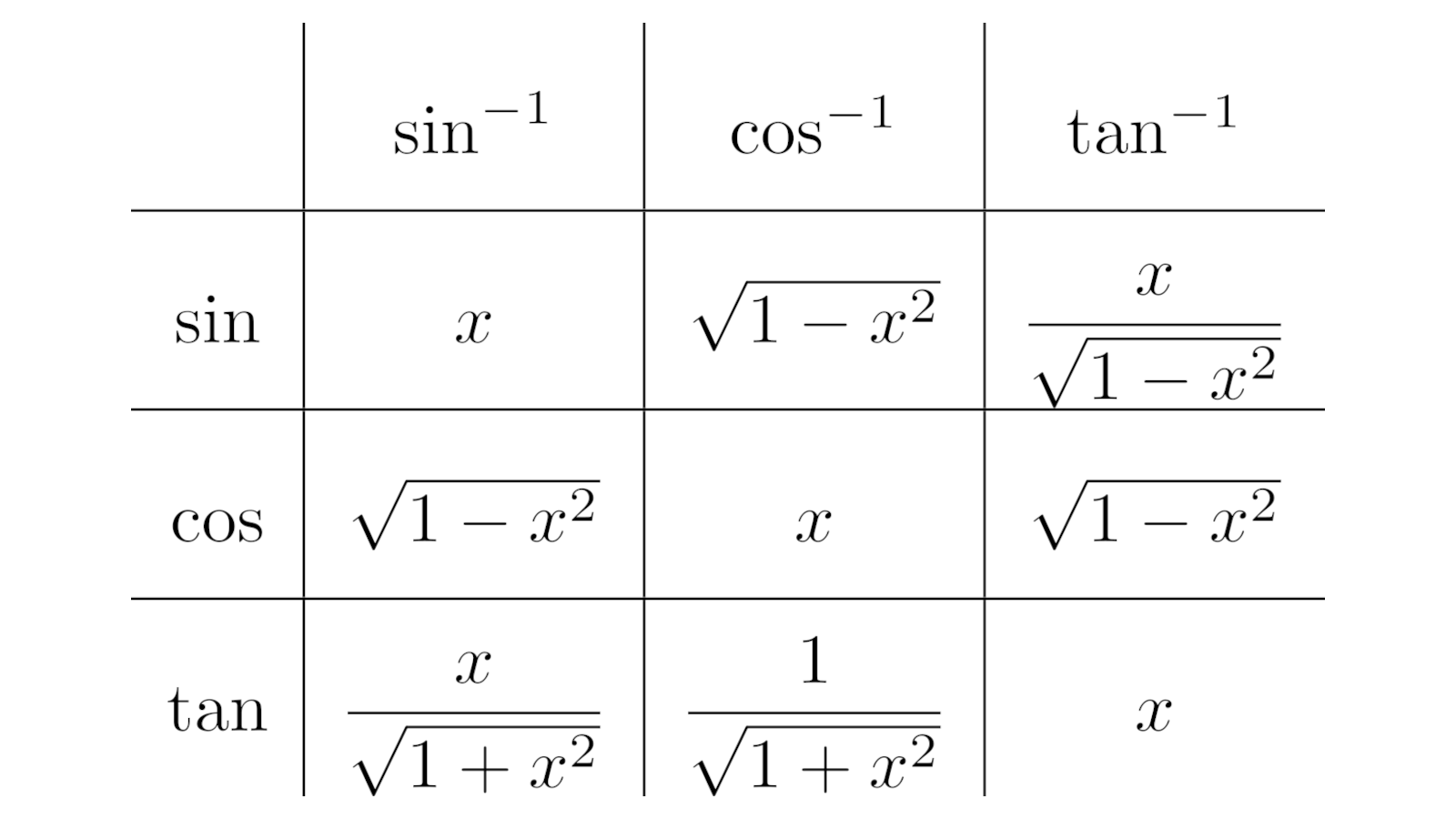
A sort of multiplication table for trig functions and inverse trig functions.
-
A sort of multiplication table for trig functions and inverse trig functions.
https://www.johndcook.com/blog/2026/02/25/trig-of-inverse-trig/

-
A sort of multiplication table for trig functions and inverse trig functions.
https://www.johndcook.com/blog/2026/02/25/trig-of-inverse-trig/

@johndcook There are some problems with this table, for example tan(asin(x))=x/sqrt(1-x^2)) and cannot be x/sqrt(1+x^2) because it should well defined only on ]-1,1[. Same problem tan(acos(x)) and reversely with sin(tan(x)) and cos(atan(x)) well defined on R.
-
@johndcook There are some problems with this table, for example tan(asin(x))=x/sqrt(1-x^2)) and cannot be x/sqrt(1+x^2) because it should well defined only on ]-1,1[. Same problem tan(acos(x)) and reversely with sin(tan(x)) and cos(atan(x)) well defined on R.
@uxor You're right. Thanks! Fixing it now.
-
A sort of multiplication table for trig functions and inverse trig functions.
https://www.johndcook.com/blog/2026/02/25/trig-of-inverse-trig/

@johndcook Nice!
As you no doubt know, "row" then "column" is fairly conventional e.g. in analogy with a Cayley table... though, I'd say, that analogy really works in your favour if you put a function composition symbol, i.e. "o", in the top left corner. Then we have f o g which is f(g(x)).
Otherwise, one might read "row first" as f(x) and "then column" giving g(f(x)), which is possibly how the original author was thinking about it.
-
A sort of multiplication table for trig functions and inverse trig functions.
https://www.johndcook.com/blog/2026/02/25/trig-of-inverse-trig/

@johndcook Composition, not multiplication, no? But I take your point and quite like your compact display. The display style has wider applicability, and I will steal it!
-
R relay@relay.an.exchange shared this topic